tubes.rs
Hi End Tube Amplifiers Designer Tool Box Book - Zoran M. Dukic
Hi End Tube Amplifiers Designer Tool Box Book - Zoran M. Dukic
Couldn't load pickup availability
Everything you need to know about the construction of tube hi-end amplifiers in one book.
I really want to share my knowledge and experience with all audiophiles all over the world and contribute to spreading the interest in designing Hi End tube amplifiers. I hope that my book will encourage many audiophiles to embark on the path of building their own amplifiers - yes, bravely jump into the river of building amplifiers and make your dreams and fantasies about good sound come true.
Zoran M. Dukic, September 2023.
Format: A4, Hard cover
Pages: 428
Weight: 1300gr
FREE SHIPPING WW
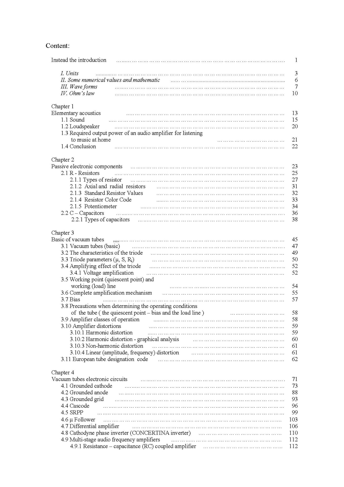
Content:
Instead the introduction
I. Units
II. Some numerical values and mathematic
III. Wave forms
IV. Ohm’s law
Chapter 1
Elementary acoustics
1.1 Sound
1.2 Loudspeaker
1.3 Required output power of an audio amplifier for listening to music at home
1.4 Conclusion
Chapter 2
Passive electronic components
2.1 R - Resistors
2.1.1 Types of resistor
2.1.2 Axial and radial resistors
2.1.3 Standard Resistor Values
2.1.4 Resistor Color Code
2.1.5 Potentiometer
2.2 C – Capacitors
2.2.1 Types of capacitors
Chapter 3
Basic of vacuum tubes
3.1 Vacuum tubes (basic)
3.2 The characteristics of the triode
3.3 Triode parameters (µ, S, Ri)
3.4 Amplifying effect of the triode
3.4.1 Voltage amplification
3.5 Working point (quiescent point) and working (load) line
3.6 Complete amplification mechanism
3.7 Bias
3.8 Precautions when determining the operating conditions of the tube ( the quiescent point – bias and the load line )
3.9 Amplifier classes of operation
3.10 Amplifier distortions
3.10.1 Harmonic distortion
3.10.2 Harmonic distortion - graphical analysis
3.10.3 Non-harmonic distortion
3.10.4 Linear (amplitude, frequency) distortion
3.11 European tube designation code
Chapter 4
Vacuum tubes electronic circuits
4.1 Grounded cathode
4.2 Grounded anode
4.3 Grounded grid
4.4 Cascode
4.5 SRPP
4.6 µ Follower
4.7 Differential amplifier
4.8 Cathodyne phase inverter (CONCERTINA inverter)
4.9 Multi-stage audio frequency amplifiers
4.9.1 Resistance – capacitance (RC) coupled amplifier
4.9.2 Passive RC filters
4.9.3 Feedback
4.10 Single Ended Output Amplifier Configuration
4.10.1 Single Ended Triode Output Stage - Load Line Design
4.10.2 Examples of Triode Single Ended Output stage Load Lines
4.10.2.1 Single Ended output stage using directly heated triode 300B
4.10.2.2 Single Ended output stage: EL34 power pentode connected as triode – triode mode
4.10.2.3 Single Ended output stage: KT88 power beam tetrode connected as triode – triode mode
4.10.3 Single Ended Pentode and Tetrode Output Stage
4.10.3.1 Single Ended output stage: EL84 (6BQ5)
medium power pentode
4.10.3.2 Single Ended output stage: EL34 power pentode
4.10.3.3 Single Ended power beam tetrode output stage
4.11 Push – Pull Output Stage Configuration
4.11.1TRIODE CLASS A PUSH PULL Output stage GRAPHICAL ANALYSIS
4.11.2 PENTODE and BEAM TETRODE PUSH PULL Output stage
4.11.3 CLASS AB PUSH PULL Output stage
4.11.4 Ultra Linear Mode Push Pull Output Stage
Chapter 5
Transformers
5.1 Transformer – Basic (Elementary)
5.2 Magnetic Core
5.3 Some general parameters used to design transformers
5.4 Output Transformer
5.5 Calculation of Single Ended Output Transformer
5.6 Calculation of Push Pull Output Transformer
5.7 Power Supply Transformer
5.8 Choke
Chapter 6
Power Supply
6.0 Power Supply
6.1 Half - Wave Rectifier (With Capacitor)
6.2 Full - Wave Rectifier (With Capacitor)
6.3 Full - Wave Rectifier with Input Inductance and Capacitor as Filter – L Filter
6.4 Half - Wave Rectifier with C L C or π Filter
6.5 Full - Wave Rectifier with C L C or π Filter
6.6 Bridge Rectifier
6.7 Regulated High Voltage Power Supply
6.7.1 HIGH VOLTAGE ADJUSTABLE POWER SUPPLY - MAIDA TYPE
Chapter 7
Practice
7.0 PRACTICE: POWER AMPLIFIER DESIGN
Chapter 8
Measurement and testing














Subscribe to our emails
Be the first to know about new collections and exclusive offers.